设为首页 | 加入收藏 | 繁体中文
你好,欢迎光临大连瓦房店市市场协会网站  
网站首页关于我们政府动态协会相关文件维权服务会员单位协会章程摄影作品资源下载留言咨询
您现在的位置:大连瓦房店市市场协会 > > 政府动态
用户名:
密 码:
   
忘记密码?点这里重设
     新闻资讯
    政府动态
 
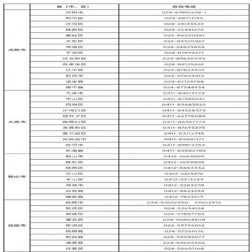
辽宁2026高考生,你们的“专属热线”已开通!
来源:小编·然仔 瓦房店广播电视台 微信公众号 点击数:511次 更新时间:2025/10/21 15:40:03

 

10月20日

辽宁2026年高考报名正式开始


辽宁省招考办最新公布了

高考报名咨询电话

各位考生及家长们

有问题可以打电话咨询哦

辽宁省2026年高考报名咨询电话

 

快快转发给朋友们


来源:北斗融媒



以上文章转载自互联网,版权归原创者所有。如有来源标注错误或者侵权,请联系我们,我们将及时处理。

 

【刷新页面】【加入收藏】【打印此文】 【关闭窗口】
上一篇:鼓励“内部吹哨人”!报告食品安全风险隐患将予以奖励 下一篇:潘非琼先进事迹展揭展
 
   友情链接:辽宁省纪检最高检中央纪检监察民主与法制网中国政府网辽宁省人民政大连市人民政瓦房店市人民
协会荣誉 | 会长致辞 | 协会简介 | 机构设置及职责范围 | 协会职能 | 联系我们
大连瓦房店市市场协会 2007-2013 @ All Rights Reserved 辽ICP备13013779号-1
邮件:2931180103@qq.com 电话:0411-85595991  地址:辽宁瓦房店市   技术支持:瓦房店汇杰网络